티스토리 뷰
3. 점성, 열전도율, 확산계수 이론 식 유도.
마지막으로 점성, 열전도율, 확산계수의 이론식을 유도하겠습니다. 유념해야 할 점은 1절에서 강조한 바와 같이, 세 현상 모두 입자의 확산에 의해 물리량이 전달되는 과정이라는 것입니다. 점성은 운동량의 전달에 관련된 계수, 열전도율은 열전달에 관련된 계수, 확산은 입자 자체의 전달에 관련된 계수입니다. 유도는 입자의 확산에 임의의 물리량이 전달되는 식을 유도할 것이며, 그 물리량에 운동량과, 열, 입자 수를 대입하여 각각의 계수들을 유도할 것입니다. 그렇다면 입자의 확산에 의하여 물리량이 전달되는 것을 어떻게 정량적으로 표현할 수 있을까요? 이는 지난 열역학 강의자료 3 ‘압력에 관하여’에서 다뤘던 식을 그대로 사용할 수 있습니다. 압력에 쓰였던 식을 밑에 적고 각 항들의 의미를 되새겨 보겠습니다.

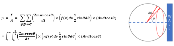
적분 기호 속 첫번째 항의 의미는 입자 하나가 충돌할 때 전달하는 운동량이고, 두번째 항은 벽의 법선 방향과 세타 각의 방향으로 운동하는 입자의 개수 곱하기 속도이고, 마지막 항은 벽에 부딪힐 입자들이 차지하는 부피입니다. 쉬운 이해를 위해서 식을 재정리하겠습니다.

위와 같이 정리할 경우 의미가 조금 더 명확해지는 것 같습니다. 첫번째 항은 우선 브이, 속도에 코사인을 곱했으므로 벽의 법선 방향 속도를 의미합니다. 이 항을 속도가 v인 입자의 비율을 뜻하는 f(v)를 곱한 후 속도에 대해 적분하면, 모든 속도를 고려하게 됩니다. 두번째 항은 위의 구 모양 그림에 세타와 세타 더하기 디세타 각 사이의 띠모양에 포함된 입자의 수를 나타냅니다. 세타를 0도부터 90도까지 적분하면, 벽에 부딪힐 모든 입자들을 고려할 수 있습니다. 세번째 항은 한 입자가 벽과 완전 탄성충돌을 하였을 때 전달되는 운동량입니다. 참 제가 쓰고 다시 이해하기 어려울 것 같은데요. 글로 보면 참 어렵지만, 직접 메커니즘을 생각하시면 훨씬 이해가 쉬우실 것입니다. 이 압력을 유도하는 식에 힌트를 얻어 저희가 구하고자 하는 세 수치도 유도할 수 있습니다. 위의 식에서 입자가 운동량을 전달하는 것이 아니라 다른 것을 열을 전달한다고 가정하면 열전도율의 정량적 식을 이끌어 낼 수 있습니다. 그렇다면 임의의 물리량을 상정한 후 식을 다시 쓰겠습니다.

말씀드린 대로 압력식의 운동량이란 수치를 임의의 물리량 X로 변경하였습니다. 그리고 한가지 더 변경점이 있는데요, 바로 각도의 적분 범위를 90도가 아닌 180도까 확장하였습니다. 위의 벽과 구형의 있는 그림을 다시 보시면 이 각도의 확장의 의미를 이해하기 쉽습니다. 0도부터 90도라는 것은 벽방향으로 반구 방향으로 운동하는 입자만 고려하겠다는 의미입니다. 압력은 벽을 때릴 때 전달되는 운동량을 고려해야하기 때문에 반구만 고려해도 되지만, 다른 이동현상들은 사방팔방 이동하며 전달되는 물리량을 고려해야합니다. 그렇기 때문에 적분구간이 180도가 되었습니다. 그렇다면 X에 이제 운동량, 열, 입자 그 자체를 대입하겠습니다.

먼저 운동량부터 살펴보겠습니다. 같은 운동량인데 압력을 구할 때 운동량과는 사뭇 다르지요? 당황하실 것 없습니다. 운동량이 전달되는 모델이 다르기 때문입니다. 압력을 구할 땐 입자 하나가 벽과 충돌한다고 가정하였고, 지금은 한 입자가 Z방향으로 이동하면서 기존에 있던 층과 이동한 후의 층에서의 X방향 운동량의 차이에 인해 운동량이 변화하는 것입니다. 그러므로 mdUx는 z에의해서만 변할 수 있으므로 mdUx/dZ * deltaZ 로 확장된 것입니다. 열량도 마찬가지로 생각할 수 있습니다. 한 입자가 가진 열량은 CT이고, 입자가 다른 층으로 이동하면서 열량의 차이인 CdT를 만들에 냅니다. dT는 운동량 변화와 마찬가지로 Z방향 변화에 의해서만 변하므로 CdT/dZ * deltaZ 로 확장되는 것입니다. 마지막으로 입자의 확산의 경우 입자 그 자체이므로 물리량에 1이 들어갑니다. 그렇다면 미분 값은 0이되는 것일까요? 그렇지 않습니다. 물리량 X의 전달률 식에서 n값은 마치 상수와 같이 생각되었습니다. 실제로 점성과 열전도율을 논할 때 입자의 밀도는 변하지 않는다는 가정하에 유도됩니다. 그렇기 때문에 n은 z에 따라 변하지 않아서 d/dz 미분기호 밖으로 나올 수 있는 것입니다. 그러나 입자의 확산을 논하는 경우는 당연히 n은 z에 대하여 상수가 아닙니다. 그러므로 두번째항의 n을 미분기호 안으로 넣어서 연산해 주어야합니다. 마지막으로 델타 z에는 어떤 값을 넣어야 할까요? 델타 z는 입자가 충돌하지 않고 가는 거리인 Mean free path의 법선 성분을 사용하여 근사하겠습니다. (사실 이부분은 저도 완벽히 납득하기 어렵습니다. 느낌정도만 알겠네요.) 점 유의하여, 물리량 X의 전달률 식의 X에 세 물리량을 대입하겠습니다.

이 세 수치의 이론식을 구하기 위해 참 고생하였습니다. 결론은 이 세 수치가 매우 유사한 이유는, 세 현상상 모두 입자 확산에 의한 물리량 변화로 인해 발생한다는 가정하에 유도된 것이기 때문입니다.
사정상 모든 자료가 열역학 이론적인 부분에 치우치고 있습니다. 그래서 제 포스팅의 목표를 한번 더 말씀드리겠습니다. 이러한 이론적 내용을 소개하고, 제가 만들 유체 해석 프로그램을 이론식을 통해 검증하는 과정을 거칠 것입니다. 이를 통해 제가 만든 유체 프로그램의 타당성을 확보하는 것이 목표입니다. 각 열역학 자료에서 다뤘던 모든 내용을 검증할 것입니다. 그러나 프로그램 개발에 진척속도가 느려서 이론적인 부분의 포스팅만 올라가고 있습니다. 우선은 이론적인 내용은 다음에 소개드릴 열역학 제 1법칙 에너지 보존 법칙과, 그 다음인 2법칙에 엔트로피증가법칙까지 소개하고 프로그래밍 부분을 올리는 것을 목표로 하겠습니다. 감사합니다.
'수학&물리' 카테고리의 다른 글
| OpenGL의 Perspective Projection (2/3) (2) | 2020.04.01 |
|---|---|
| OpenGL의 Perspective Projection (1/3) (0) | 2020.03.12 |
| 열역학 자료 5: 점성, 열전도율, 확산에 대하여 2 (0) | 2020.01.31 |
| 열역학 자료 4: 점성, 열전도율, 확산에 대하여 1 (1) | 2020.01.31 |
| 열역학 자료 3: 압력에 관하여 (0) | 2020.01.31 |
- Total
- Today
- Yesterday
- 순열
- 유니티
- 조합
- Unity
- Mesh Processing
- 최적화
- value type
- CollisionDetection
- perspective projection
- 루빅스큐브
- 중복 조합
- Mesh
- Unreal
- AABB
- C#
- 수학
- 중복 순열
- 경우의 수
- DirectX12
- 통계학
- VTK
- 참조 형식
- MeshProcessing
- collision detection
- opengl
- RL
- normalized device coordinate
- Scriptable Render Pipeline
- 값 형식
- RubiksCube
| 일 | 월 | 화 | 수 | 목 | 금 | 토 |
|---|---|---|---|---|---|---|
| 1 | 2 | 3 | 4 | 5 | 6 | 7 |
| 8 | 9 | 10 | 11 | 12 | 13 | 14 |
| 15 | 16 | 17 | 18 | 19 | 20 | 21 |
| 22 | 23 | 24 | 25 | 26 | 27 | 28 |
| 29 | 30 | 31 |