티스토리 뷰
2. Mean Free Path 유도
유체에서 운동량 전달, 열 전달, 입자 전달(확산) 세 현상 모두 입자의 전달을 통해 이루어지므로 입자의 운동을 이해하는 것이 중요합니다. 그 중에서도 Mean Free Path, 굳이 번역을 하자면 평균 자유 행로라고 명명하는 값을 이해하는 것이 중요합니다. 이 값은 입자가 충돌하지 않고 가는 거리의 기대 값을 가리킵니다. 또한 점성, 열전도율, 확산계수에 유도에 모두 등장하는 값이므로 먼저 이 값에 대한 이해와 정량적 유도를 해보겠습니다.
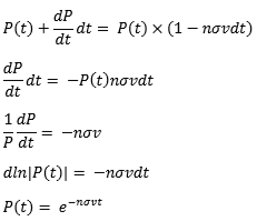
먼저 마지막 충돌이 끝난 직후를 0초라 하고, 그 후 t초가 흐를 때까지 입자가 다른 입자와 충돌하지 않을 확률을 P(t)라고 하겠습니다. 그렇다면 t+dt초까지 충돌하지 않을 확률은 P(t+dt) 가 되겠지요. 충돌은 독립 시행이므로 아래 수식이 성립합니다.
t+dt초까지 충돌 안 할 확률 = t초까지 충돌 안 할 확률 x 0초부터 dt초까지 충돌 안 할 확률


P(dt)에 관하여 고찰해 보겠습니다. dt초 동안 입자가 훑고 지나간 부피속에 입자가 있다면 충돌하는 것이고, 그 안에 입자가 없다면 충돌하지 않겠지요. 훑고 지나간 부피는 입자 단면적 곱하기 속도 곱하기 dt일 것입니다. 옆의 그림을 보면 쉽게 이해될 것입니다.

그리고 단위 부피당 입자의 개수를 n이라고 하겠습니다. 그렇다면 훑고 지나간 부피 내부에 있는 입자 개수의 기대값은 부피 곱하기 n일 것입니다.

이 값이 0.3이라면 30%확률로 충돌할 것이고 다르게 말하면 70%확률로 충돌하지 않습니다. 즉 1에서 이 값을 빼면 P(dt)를 구할 수 있습니다. 이 결과를 위의 식에 대입하면 아래와 같습니다.

좌변을 테일러 1차근사를 하도록 하겠습니다.

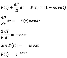
이렇게 해서 t초까지 충돌하지 않을 확률을 계산하였습니다. 평균 자유 행로를 구하기 위해선 충돌시간의 기대 값을 계산한 후에 시간x속도를 통하여 충돌기대거리(평균 자유 행로)를 계산하겠습니다. 개인적으로 평균 자유 행로라는 표현보다는 충돌기대거리라는 표현이 좋습니다. 그러나 구글과 같은 검색엔진에서 쓰는 표현은 평균 자유 행로이므로 유념하시기 바랍니다. 그럼 우선 충돌 기대시간을 계산하겠습니다. 아래와 같이 계산할 수 있을 것입니다.

dt는 미소 값이므로 ‘t초에서 t+dt초 사이 충돌 확률’은 t초에서 충돌할 확률과 같습니다. t초에서 충돌할 확률 시간 t를 곱했으므로, 0초부터 무한대까지 적분한다면 충돌 기대시간을 구할 수 있습니다.

충돌 기대 시간은 단위 부피당 입자 수, 입자의 반지름, 그리고 입자의 속력에 반비례하는 것을 알 수 있습니다. 이는 우리의 일반적인 직관과 매우 잘 맞는 결과입니다. 입자가 많을수록, 입자가 클수록, 입자가 빠를수록 충돌하는데 걸리는 시간이 짧아질 것이 예상되기 때문입니다. 그러나 분자의 v가 조금 신경이 쓰입니다. 한 입자의 속도가 v일 때, 평균충돌시간이 1/nσv이기 때문이란 얘기인데, 그렇다면 v의 대표 값은 무엇으로 정해야 할까요? 이전 속력 분포 함수를 이용한 기대 값인 <v>를 사용해도 될까요? 이것은 틀린 생각입니다. 왜냐하면 입자는 모두 움직이기 때문입니다. <v>는 정지한 물체에 대한 입자의 속도입니다. 움직이는 입자 사이의 속력을 고려할 때는 상대 속력을 사용해야합니다.


그러므로, 모든 입자에 대한 충돌 기대 시간의 값은 아래와 같습니다.

시간 곱하기 속도가 거리 이므로 충돌 기대 거리(Mean Free Path)는 충돌 기대 시간을 통해 쉽게 계산 가능합니다.

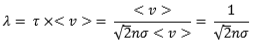
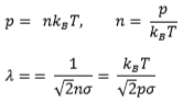
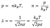
위 식을 해석하자면, ‘충돌 기대거리는 입자의 밀도와 입자의 반지름에 반비례한다.’라는 명쾌한 결론에 다다르게 됩니다. 입자의 밀도를 이상 기체 상태 방정식을 이용해 치환하면,

Mean free path는 압력에 반비례하고, 온도에 비례한다는 결론이 도출됩니다. 이상입니다.
'수학&물리' 카테고리의 다른 글
| OpenGL의 Perspective Projection (1/3) (0) | 2020.03.12 |
|---|---|
| 열역학 자료 6: 점성, 열전도율, 확산에 대하여 3 (0) | 2020.01.31 |
| 열역학 자료 4: 점성, 열전도율, 확산에 대하여 1 (1) | 2020.01.31 |
| 열역학 자료 3: 압력에 관하여 (0) | 2020.01.31 |
| 열역학자료 2: 입자의 속도 분포에 관하여 (0) | 2019.12.06 |
- Total
- Today
- Yesterday
- 중복 조합
- 조합
- RL
- 최적화
- value type
- collision detection
- Mesh Processing
- CollisionDetection
- 순열
- VTK
- 유니티
- 루빅스큐브
- DirectX12
- 참조 형식
- C#
- 값 형식
- 통계학
- 중복 순열
- normalized device coordinate
- AABB
- Unreal
- Scriptable Render Pipeline
- 경우의 수
- perspective projection
- 수학
- opengl
- RubiksCube
- Mesh
- MeshProcessing
- Unity
| 일 | 월 | 화 | 수 | 목 | 금 | 토 |
|---|---|---|---|---|---|---|
| 1 | 2 | 3 | 4 | 5 | 6 | |
| 7 | 8 | 9 | 10 | 11 | 12 | 13 |
| 14 | 15 | 16 | 17 | 18 | 19 | 20 |
| 21 | 22 | 23 | 24 | 25 | 26 | 27 |
| 28 | 29 | 30 | 31 |