티스토리 뷰
1. 입자 당 갖는 에너지의 양
지난자료에선 온도의 정의에 대해 논하였고, 미시적 상태(Microstate)와 거시적 상태(Macrostate)에 대하여 논하였습니다. 도출된 결론은, 결국 온도는 거시적 개념이며, 에너지의 이동의 기준이 된다는 점입니다. 또한 압력과 점성, 열전도율과 같은 개념들도 모두 거시적인 개념들로써, 입자의 운동량과 위치라는 미시적개념들 로부터 도출될 수 있습니다. 이를 위해선 볼츠만 분포라는 개념에 대한 이해가 먼저 필요합니다. 볼츠만 분포는 열역학적 평형을 이룬 시스템에서 한 입자가 갖고 있는 에너지 양을 나타내는 분포라고 할 수 있습니다. 열역학적 평형이 이루고 온도가 일정해지면 모든 입자들은 같은 양의 에너지를 갖고 있을까요? 만약 그럴 것 같다는 의견이시라면 이전 자료를 한번 더 읽고 생각하시길 바랍니다. 입자들은 서로 끊임없이 충돌하며 에너지를 교환하고 있고 순간적으로 어떤 입자는 매우 빠르고, 어떤 입자는 매우 느려서 갖고 있는 운동에너지의 크기는 매우 다양할 것입니다. 이때 입자들이 갖고 있는 에너지 크기에 따른 입자의 개수의 분포가 볼츠만 분포라고 불리우며, 감소하는 지수함수 형태를 띄게 됩니다. 즉 아래 그림과 같습니다.

단 원자 입자의 경우 에너지의 크기가 입자의 속력의 제곱 값에 비례하므로, 열역학적 평형 상태에서의 입자의 속도 또한 볼츠만 분포와 연관되어 있을 것이란 사실을 유추할 수 있습니다. 즉 볼츠만 분포를 이용하면 입자의 속력 분포를 알 수 있고 이 것은 압력과, 점성 등의 거시적인 물리 량을 계산하는데 필요합니다.
2. 볼츠만 분포
어떤 강당 안에 1000명의 사람들이 있습니다. 그리고 이 사람들은 각각 구슬을 3개씩 갖고 있습니다. 즉 총합 3000개의 구슬을 갖고 있지요. 그리고 가까이 있는 사람들과 랜덤하게 구슬을 하나씩 주고받기 시작합니다. 이 행동엔 아무런 규칙이 없고, 그저 주변에 있는 사람 중 주고 싶은 사람에게 구슬을 계속 하나씩 주고받습니다. 많은 시간이 흐른 후, 개인이 갖고 있는 구슬의 수의 분포는 어떻게 될까요? 어떤 사람은 인기가 많아 구슬을 10개도 넘게 갖고 있을 수 있고, 다른 사람은 주기만하고 받지를 못해서 구슬의 개수가 0개일 수도 있습니다. 예를 보고 추측하셨겠지만 사람은 입자를 의미하고 구슬은 에너지를 대표합니다. x축을 갖고 있는 구슬의 수, y축을 사람의 수로 상정한 후 그래프를 그리면 볼츠만 분포를 나타낼 것입니다. 그렇다면 어찌하여 감소하는 지수함수 형태를 갖을지 수학적으로 유도를 해보겠습니다.
한 사람이 구슬 n개를 갖게 될 확률은 어떻게 될까요? 이 확률을 P(n)이라 하겠습니다. P(n)은 나머지 999명의 사람이 구슬 3000 빼기 n개를 나누어 갖는 경우의 수에 비례하겠죠? 그 경우의 수를 N(3000-n)이라고 표현하겠습니다.

999명에게 3000-n개를 분배하는 경우의 수를 계산하는 것은 매우 힘든 일로 보입니다. 더구나 저 희가 본격적으로 다룰 입자와 에너지는 3000개와 1000개 정도로는 어림도 없을 것입니다. 따라서 저희는 이 경우의 수를 직접 계산할 일을 없을 것입니다. 비유는 더 이상 그만두고, n개의 구슬 대신 입자 하나가 epsilon 만큼의 에너지를 갖고 있을 확률을 생각해보겠습니다. 3000개의 구슬은 총 에너지인 E로 대체하겠습니다.

매우 큰 수를 다룰 때는 로그를 취하면 식이 간단해지는 경우들이 있지요. 로그를 취해보겠습니다.

입실론은 E에 대해 매우 작은 값이므로 테일러 1차 전개를 통하여 근사값을 계산할 수 있습니다.

네 위의 수식을 봤을 때 굉장히 익숙한 모양이 있지요? 물론 지난 강의 자료를 읽어 보신 분들에 한해서요. 가장 우변에 마이너스 입실론에 곱해졌는 미분 형태는 온도를 정의할 때 나온 것입니 다. 아래 온도의 정의를 한번 더 적겠습니다.

즉 이 온도의 정의를 이용하면, 위의 미분 형태를 온도 곱하기 볼츠만 상수분의 일로 치환 할 수 있습니다.

식이 매우 간단 해졌습니다. 양변의 로그를 풀어주면 아래와 같은 식이 도출됩니다.

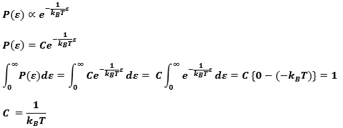
이 때 N(E)는 모든 입자가 에너지 E를 나누어 갖는 수이므로 상수입니다. 즉 한 입자가 에너지 입 실론을 갖을 확률은 지수 함수에만 비례함을 알 수 있습니다.

따라서 한 입자가 에너지의 양이 커질수록 존재할 확률은 급격히 지수적으로 감소함을 알 수 있 습니다. 확률 분포 식을 끝까지 유도해보도록 하겠습니다. 우변의 비례항을 입실론 0부터 무한대 까지 적분하면 확률이므로 1이 되어야합니다. 에너지가 무한까지 가능하다는 가정이 정말 마음에 들지 않지만 매우 큰 수 일 것이므로 살짝 넘어가도록 하겠습니다.

즉,

이로써 한 입자가 에너지 입실론을 갖고 있을 확률에 관한 함수가 모델링 되었습니다. 이 함수 를 정성적으로 표현하자면 ‘갖고 있는 에너지의 양이 커짐에 따라 존재하는 입자의 수는 지수적 으로 감소한다.’ 정도가 될 것 같습니다. 이러한 확률 분포를 통계역학의 창시자신 물리학자 루트 비히 볼츠만의 이름을 따서 볼츠만 분포라고 합니다.
3. 일정한 온도에서 입자의 속도 분포
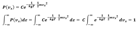
이번엔 에너지와 같이 추상적인 개념이 아닌 우리가 비교적 직관적으로 이해하고 있는 속도의 개념을 이용해서 위에서 유도한 수식을 변형해보겠습니다. 위에서 저희가 했던 생각이 열역학적 평형 상태에서 ‘갖고 있는 에너지의 크기에 따른 입자들의 개수 분포는 어떨까?’ 였다면, ‘입자의 속도에 따른 입자들의 개수 분포는 어떨까?’로 바꿔보자는 말입니다. 단원자의 경우 에너지는 오 로지 병진 운동에너지 이부로 입실론만 이분의 일 엠 브이 제곱으로 변경하면 될 것으로 보입니다.

그러나 위와 같이 적기엔 한가지 찝찝한 부분이 있지요? 속도는 벡터이기 때문이지요. 우선 쉬운 설명을 위해 입자는 한방향으로 밖에 움직이지 못하는 상황을 상정하겠습니다. 그방향을 x방향이 라고 하겠습니다. 그렇다면 브이 대신 브이 엑스로 쓸 수 있습니다.

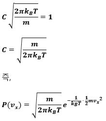
2절에서와 같이 Normalizing 과정을 거치겠습니다.



이며 지난 자료에서 유도했던 종모양의 정규분포 형태를 팀을 알 수 있습니다.

표준 편차가 시그마이고 평균이 m인 표준 정규 분포는

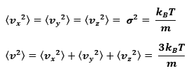
이므로, x방향 속도에 따른 입자의 개수 분포의 평균이 0이고 표준편차의 값이 kBT/m의 제곱근임 을 알 수 있습니다. 온도가 높아 질수록 표준편차가 커져서 넓게 퍼질 것을 유추할 수 있습니다.
물리현상은 좌표계에 대하여 독립이므로 Y방향과 Z방향도 마찬가지의 분포를 보일 것을 예상 할 수 있습니다. 또한 이 분포의 분산의 값은 표준편차의 제곱이므로 kBT/m이고 분산은 편차 제 곱의 평균이고 평균은 0이므로, 분산 = 편차 제곱의 평균 = ( v X – 0) 제곱의 평균, 즉 분산이 v X 제 곱의 평균임을 알 수 있습니다. 그러므로 아래의 식이 성립합니다.


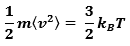
좌변은 입자들의 속력의 제곱의 평균값입니다. 즉 이 값에 이분의 일과 질량을 곱하면 입자의 평 균 운동에너지 값을 구할 수 있습니다.

위 식의 의미는 즉 입자의 평균운동에너지는 온도에 비례한다는 것입니다. 고교 물리시간에 봤던 익숙한 식인데 뭔가 얼떨결에 많이 익숙했던 식을 유도한 느낌입니다. 이 식 덕분에 ‘온도는 입자 의 평균운동에너지’ 라고 열심히 외워서 이것이 온도의 정의로 알고 있는 학생이 많을 것으로 생 각됩니다. 저 또한 고등학생 시절 그렇게 외웠던 것으로 기억합니다. 그러나 온도의 정의는 이전 자료에서 정의한 것이 더 근본적이며, 온도가 입자의 평균운동에너지와 비례한다는 위와 같이 증 명될 수 있는 온도의 성질 중 하나로 생각하는 것이 개념정립에 좋을 것이라 생각합니다.
4. 일정한 온도에서 입자의 속도 분포
마지막으로 알아보고 싶은 점은 속도가 아닌 속력에 따른 입자 수의 분포입니다. 열역학적 평 형상태에서 입자의 속력에 따른 입자의 개수 분포는 어떻게 될까요? 속력엔 음수 값이 없으니 정 규분포형태는 나오지 않을 것입니다. 이를 알아보기 위해, 먼저 속도 x성분이 vx에서 vx + d vx 안에 들어있으며, y성분이 vy 에서 vy + d vy 안에 있고, z성분이 v z 에서 vz + dvz 안에 들어있을 확률을 생각해 보겠습니다. x방향 속도가 vx 에서 vx + d vx
사이의 입자의 수는

에 비례하고 y방향과 z방향도 마찬가지일 것입니다. 그러므로 구하고자 하는 확률은 아래의 수치 와 비례합니다.

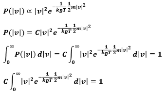
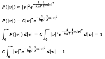
즉 입자의 속도가 vx에서 vx + dvx, vy에서 vy + dvy, vz 에서 vz + dvz 안에 들어있을 확률은 속력 |v|과 관련 되어있습니다. 그렇다면 속력 |v|을 갖는 입자의 수는

에 비례한다고 할 수 있을까요? 이는 틀린 생각일 것입니다. 속도가 |v| 가 나오게 하는 속도 순서쌍은 (vx, vy, vz) 말고도 많기 때문입니다. (vx, vy, vz)과 절댓값이 같은 값들은 속도 공간에서 구면 위에 있으므로, 속력이 |v|값이 나오는 속도의 순서쌍은 |v|의 제곱 값에도 비례할 것입니다. 즉 속력이 v인 입자들은

에 비례합니다.


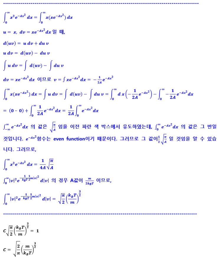
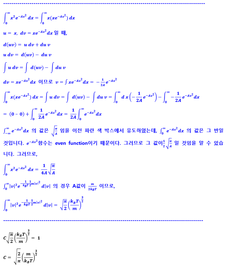
즉, 속력 | v |에 따른 입자의 개수 분포는 아래 함수를 따릅니다.

이 함수의 모양은 마치 어린 왕자 이야기 속에 코끼리를 삼킨 보아 뱀의 형상과 유사합니다.

오늘 다룬 내용을 요약하자면, 첫째 압력 점성과 같은 거시적인 개념을 미시적 개념인 입자의 질량과 속도로 계산해내기 위해선 볼츠만 분포에 대한 이해가 필요합니다. 볼츠만 분포란 일정한 온도에서 일정한 에너지를 갖는 입자 개수의 분포이며, 이를 통해 속도에 따른 입자의 분포와 속력에 따른 입자의 분포 식을 계산하였습니다. 다음 자료에선 이 볼츠만 분포를 통해서 압력을 계산해보도록 하겠습니다. 긴 글 읽어 주셔서 감사합니다. 설명이 충분한지 아닌지, 오류가 있는지 댓글로 피드백 부탁드립니다.
'수학&물리' 카테고리의 다른 글
| 열역학 자료 4: 점성, 열전도율, 확산에 대하여 1 (1) | 2020.01.31 |
|---|---|
| 열역학 자료 3: 압력에 관하여 (0) | 2020.01.31 |
| 열역학자료 1: 온도의 정의에 관하여 (2) | 2019.10.26 |
| 쿼터니안과 삼차원 회전 2 (0) | 2019.09.23 |
| 벡터의 곱셈에 관한 고찰 (1) | 2019.09.23 |
- Total
- Today
- Yesterday
- 중복 조합
- 순열
- Mesh
- collision detection
- MeshProcessing
- 중복 순열
- 유니티
- opengl
- 통계학
- Unity
- perspective projection
- CollisionDetection
- 루빅스큐브
- Unreal
- Mesh Processing
- value type
- normalized device coordinate
- DirectX12
- RL
- VTK
- C#
- AABB
- 수학
- 최적화
- Scriptable Render Pipeline
- RubiksCube
- 값 형식
- 조합
- 경우의 수
- 참조 형식
| 일 | 월 | 화 | 수 | 목 | 금 | 토 |
|---|---|---|---|---|---|---|
| 1 | 2 | 3 | 4 | 5 | 6 | 7 |
| 8 | 9 | 10 | 11 | 12 | 13 | 14 |
| 15 | 16 | 17 | 18 | 19 | 20 | 21 |
| 22 | 23 | 24 | 25 | 26 | 27 | 28 |
| 29 | 30 | 31 |