티스토리 뷰

여러가지 시뮬레이션 프로그램 개발을 목표로 하고 있으며, 이 블로그에는 그 개발 과정에서 같이 공유하고 싶은 지식을 기록, 공유하는 것에 있습니다. 가장 먼저 개발해보고 싶은 시뮬레이션 현상은 열 현상입니다. 열의 전달과정에 관한 시뮬레이션을 통해 커피의 식어가는 것과 같은 일상현상을 재현해볼 예정입니다. 프로그램 개발 과정과 열 현상이론에 관한 두 가지 내용을 모두 다루고 싶었으나, 프로그램 개발과정은 계속 변화하기 때문에 프로그램이 완성된 후에 한꺼번에 공개하도록 하겠습니다. 그럼 열 현상 이론에 관한 글은 온도(0법칙), 기체동역학, 이동 현상, 에너지(1법칙), 엔트로피(2법칙), 통계역학 이렇게 6가지 큰 주제를 통해 다루도록 하겠습니다. 대학개론 수준으로 상세하게 진행하면 너무 장황하고 지루할 수 있으므로 제가 중요하다고 생각하는 핵심적인 개념들의 실제적 의미 중심으로 간단한 유도들과함께 전개해 나가도록 하겠습니다. 본 내용은 제가 학부 시절 공부한 두 책인 Stephen J. Blundell 저의 Concept in thermal physics와 이준창 교수님의 Thermal Physics의 내용을 상당 부분 참고하여 재구성한 것임을 밝힙니다.
1. 열역학적 평형과 온도의 거시적 정의
그럼 첫번째 주제인 온도의 정의(열역학 0법칙과 관련)에 관한 이야기를 시작하겠습니다. 우선, 온도란 무엇일까요? 흔히 뜨겁고 차가운 정도라고 알고 있습니다. 그러나 과학적 개념이라고 하기엔, 사람의 감각에 의존하는 등, 모호한 점들이 있어 보입니다. 또한 사우나 안의 100도씨의 공기와 100도씨의 끓는물의 뜨거운 정도는 분명 다르게 느껴집니다. 감각에 의존하는 차갑고 뜨거운 정도라는 개념엔 상당히 빈틈이 있는 것 같습니다. 그렇다면 온도를 과학적으로 정의하기 위해선 어떤 과정들이 필요할까요? 또, 왜 온도란 개념이 필요하고 생겨났을까요?
이 의문을 해결하기 위해선 먼저 열역학적 평형이란 개념에 관해 이해하여야 합니다. 모든 물체들은 원자 또는 분자와 같은 기본입자들로 이루어져 있으며 이 입자들은 끊임없이 충돌하여 운동 에너지들을 교환합니다. 간단히 말해서 부딪혀서 서로의 속도의 변화를 줍니다. 그러나 거시적인 관점으로 볼 때, 이러한 각각의 입자사이의 에너지 교환은 알아차리기 힘들지요. 냉장고 안에 넣어두었던 스테인리스 아이스 큐브를 뜨거운 커피에 넣었을 때 커피와 아이스 큐브를 이루고 있는 입자들 사이에선 충돌하며 에너지 교환이 일어나기 시작합니다. 언제까지 일어날까요? 물론 계속 일어납니다. 앞에 언급한 것처럼 기본 입자사이의 에너지 교환은 끊임없이 일어납니다. 다만 거시적으로 볼 때 아이스 큐브 입자들에서 커피의 입자들에 전달되는 에너지 양과 그 반대로 가는 에너지 양이 같아서 에너지 이동이 없어 보이는 순간이 옵니다. 처음엔 커피에서 아이스 큐브로 에너지가 더 많이 가는데 점차 시간이 흐를수록 그 양의 차이가 줄어들다가 어느 순간 에너지교환이 없는 것처럼 보이게 되죠. 이 상태를 열역학적 평형 상태라고 합니다. 여기서 한가지 드는 의문은 ‘평형상태에 이르고도 우연히 순간적으로 아이스 큐브서 커피로 가는 에너지량이 더 많아져서 열교환이 일어날 수도 있지 않을까?’입니다. 충분히 가질 만한 의문입니다. 실제로 두 에너지량이 완전히 같을 확률은 매우 낮기도 하고요. 그러나 그 차이가 관측가능한 정도까지 올라갈 확률은 매우 낮아서 ‘거의 일어나지 않는다.’ 라고 봐도 무방합니다. 이는 고등학교 때 배운 정규분포이론을 이용해서도 증명할 수 있는데 다음 절에서 설명 드리겠습니다.
그렇다면 아이스 큐브와 커피 이 두 시스템은 언제 거시적 관점에서 열교환이 멈출까요? 둘이 나눠가진 에너지가 같을 때? 이것은 분명히 아닌 것 같습니다. 대기와 여러분의 장시간 사용하지 않은 핸드폰도 열역학적 평형 상태에 이르렀을 것인데 당연히 대기중에 입자들의 에너지가 훨씬 크겠지요. 그렇다면 어떤 순간 두 시스템의 열교환이 멈출까요? 질량이 같을 때? 두 물체의 열전열전도 같을 때? 분명히 아닌 것으로 보입니다. 과연 언제 멈출까요? 바로 온도의 개념이 이 때 필요한 것이며 온도는 열역학적 평형 조건을 통해 정의됩니다. 정답은 온도가 같을 때 열전달이 멈춘다는 것입니다. 그러나 온도가 먼저오는 개념이 아니고 열전달이 일어나는 기준 자체가 온도라고 보는 것이 맞을 것입니다. 열역학 제 0법착은 아래와 같이 정의됩니다.
“두 열역학계 A와 B가 열역학계 C와 각각 열 평형 상태이면, A와 B도 열 평형 상태라고 말한다.”
즉 A와 C가 열 평형 상태라면 두 시스템의 온도가 같고, B와 C도 열 평형 상태이므로 온도가 같고 따라서 A와 B의 온도도 같으므로 열 평형상태에 있게 됩니다. 이 0법칙을 통해 온도의 개념이 명확해지지요. 이 법칙이 1법칙이 아닌 0법칙인 이유는 1, 2, 3법칙이 나온 후에 온도의 개념을 명확히 해야 해서 중요하다고 생각되었기 때문입니다. 그래서 가장 앞자리를 차지했지요. 그전까지 온도의 개념은 그저 온도계로 측정한 값이었습니다. 수은막대를 접촉시켜서 수은 막대의 부피변화를 얼마나 일으키는가에 의해 온도가 값이 계측되었죠. 0법칙은 이러한 실험적으로 정의된 컨셉에 구체적인 물리적 의미를 부여하였습니다.
그러나 찝찝한 점은 완전히 사라지진 않았습니다. ‘그래서 온도가 언제 같아지는데?’라는 질문에 아직 대답할 수 없습니다. 거시적 열교환이 멈추었을 때를 온도가 같다고 하고 이를 통해 온도를 정의하긴 하였는데, 물리적으로 어떨 때 열교환이 멈추는 것일까요? 즉 온도의 물리적 실체는 무엇일까요? 이는 19세기에 확립된 통계역학을 통해 정의됩니다 다음절에서 다루도록 하겠습니다.
2. 매크로 스테이트와 마이크로 스테이트
온도의 통계적 정의를 알기 위해 우선 Macrostate 와 Microstate에 대하여 이해하여야 합니다. 이를 위해 간단한 비유를 하겠습니다. 물론 입자들의 운동량을 통해 직접적으로 설명을 하고 싶지만 이를 위해선 다변수 통계식이 필요하고 에너지의 양자화 컨셉이 필요하여 얘기의 시작부터 너무 복잡하게 되고, 사실 제가 에너지가 양자화 되있다는 것을 공감을 못하고 있기 때문에 비유를 이용한점 이해해주십시오.
우선 현상, 지혁, 지수, 태우, 봉준 5명의 만두게임을 한다고 해봅시다. 만두 게임이란 매 차례 마다 각 개인이 손을 다 펴거나 주먹을 쥘 수 있습니다. 한 명씩 돌아가면서 다섯 명 중 손을 핀사람이 몇 명인지 맞추는 게임입니다. 손을 가운데 모으고 손바닥을 위로하고 손을 접은 모양이 만두와 유사해서 만두게임으로 불리는 것 같습니다. 총 몇 가지 경우가 가능할까요? 쉽게 생각해서 손을 핀 사람이 0명 부터 5명까지 6까지 경우가 가능하겠지요. 또는 각각 사람마다 무엇을 냈는지를 감안한다면 2의 5승인 32가지 경우가 가능합니다. 그러나 만두게임을 하는데 있어서 이는 그리 중요하지 않지요. 예를 들어 “현상, 지혁, 지수가 손을 펴서 3명”이라고 맞춰야 한다면 맞출 확률이 32분의 1이지만, 이 게임에서는 “세명!”이라고만 외치기 때문에 6가지 경우라고 보는 것이 좀 더 일반적인 답이라고 생각합니다. 그럼 세명이라고 외치면 정답일 확률이 6분의 1일까요? 확률을 논해보겠습니다. 0이 나올 경우의 수는 5명중 손을 편 사람 0명 고르는 것이므로 5C0, 즉 1입니다. 1이 나올 경우의 수는 마찬가지로 5C1 5가지이고 나머지 경우의 수는 아래 표를 참고하여 주십시오.

즉, 3명을 외치면 맞출 확률은 16분의 5로 31% 정도입니다. 6분의 1일의 17% 보다 두배 가까이 높은 확률이지요. (모든 사람이 손을 펼 확률과 쥘 확률이 같다는 가정 하) 이렇듯 각 경우마다 확률이 다릅니다. 2나 3을 외칠 때 이길 확률이 가장 높지요. 이와 같이 전체 몇 명이 손을 폈냐는 것이 중요한 관점을 Macrostate라하고, “현상, 지혁, 지수가 펴서 셋” 과 같이 각각의 사람들의 상태가 무엇인지까지 관심을 갖는 것을 Microstate라고 하겠습니다. 입자의 경우엔 입자 다섯 개 중, “입자1, 2, 3이 에너지 1을 갖고 나머지 두개는 0을 가져서 총 에너지가 3이다.”라는 상태가 Microstate 중 하나이고, “총 에너지가 3이다.”라는 것이 Macrostate 중 하나입니다. 여기서 주목해야할 특징은 Microstate는 발생할 확률이 모두 1/32로 같다는 것이고, Macrostate는 경우별로 차이가 난다는 점입니다.
이러한 논리 전개가 도대체 왜 온도를 정의하는 데 중요할까요? 조금만 인내심을 갖고 더 전개해보겠습니다. 게임 참여인원을 열 명으로 늘렸을 때 5명이 나올 확률은 2의10 분에 10C5 즉 24.6%로 가장 높습니다. 그러므로 만약, 만원을 걸고 이 게임을 한다면 누구나 5명에 걸겠지요. 하지만 100만원을 걸고 이 게임을 할 수 있을까요? 저와 같은 서민은 엄두가 나지 않을 것 같습니다. 잃을 확률이 75.4% 이기 때문이죠. 그러나 사람의 수가 확 늘었을 경우엔 어떨까요? 마치 이 방안의 공기 입자의 개수만큼 늘었다고 해보죠. 100만원을 걸 수 있을까요? 아보가드로 수의 스케일이 10의 23제곱이니까 제방의 공기 입자수를 대략 10의 25제곱 개라고 가정하겠습니다. 이중에 손을 편사람의 명수가 가장 높을 Macrostate는 절반인 5곱하기10의24제곱 명이겠지요. (Combination의 특성) 그럼 딱 5곱하기 10의 24제곱명일 확률을 얼마일까요? 아마 거의 0에 가까울 것입니다. 내기를 했다면 100만원을 아주 높은 확률로 잃겠지요. 그럼 내기 방식을 바꾸겠습니다. 범위를 정하는 방식으로 말입니다. 처음 10명일 때 나올 수 있는 Macrostate인 0명부터 10명까지 11개의 케이스 중에 5명이란 한가지 케이스를 고른 것이니까 전체 중 9.1%의 범위를 선점한 것입니다. 마찬가지로 10의 25제곱명이서 게임을 하는 경우에도 9.1%를 고를 수 있게 해주는 것입니다. 그렇다면 중앙 값인 5곱하기 10의 24제곱명에서 좌우로 4.55%씩 차지하는 구간을 고르는 것이 가장 현명하겠지요. 대략 4.545 곱하기 10의 24제곱명에서 5.455 곱하기 10의 24제곱명까지일 것입니다. 이 경우에 100만원을 거실 수 있나요? 저는 저의 모든 통장잔고의 금액과 대출받은 돈도 걸 수 있을 것 같습니다. 확률은 99.999….%로 거의 1에 가깝기 때문이지요. 이는 고등학교 때 배운 이산확률 분포와 정규분포의 개념을 안다면 간단히 확인할 수 있습니다. 아래 문단은 수식이 많이 등장하고 지금까지 얘기한 내용의 증명 이므로 글이 읽기 힘드신 분들은 맞다고 생각하고 넘어가시는 것을 권합니다.
10의 25제곱이란 숫자를 계속 쓰기 불편하므로 n라고 하겠습니다. n명중 x명이 손을 펼 확률은

로 이산확률 분포를 따릅니다. 고등학교 때 “한 경우의 발생할 확률이 p인 이산확률분포는 시행 횟수 n이 커질수록 평균이 np이고 분산이 np(1-p)인 정규분포에 근사하게 된다고 알려져 있다.”라고 배웠습니다. 이의 증명은 테일러 근사의 일종인 스털링 근사로 증명 가능합니다만 본 자료에서 다룰 경우 너무 장황해 질 수 있으므로 추가자료를 통해 증명과정을 올리겠습니다. 표준정규 분포의 확률분포함수 식은 아래와 같습니다.

시그마는 표준편차로 분산의 제곱근이고 뮤는 기대 값입니다. 표준정규분포함수는 종모양의 함수로 표준편차 별로 확률이 계산되어 있어서 표로 제공되기도 합니다. 우리는 고교 시절 이 표를 의존 해서 많은 계산을 해왔습니다. 예를 들어 평균값으로부터 1시그마 사이의 확률 변수가 발생할 확률은 68.26%이고, 3시그마 사이 발생할 확률은 99.7%, 그리고 그 유명한 6시그마 공정이란 것은 불량률이 거의 0에 가깝다는 의미입니다. 10의 25제곱 명이 참가하는 만두 게임에선 n이 10의 25제곱이고 p가 0.5이므로, 평균은 np로 5 곱하기 10의 24제곱이고 분산인 np(1-p)는 2.5곱하기10의 24제곱입니다. 그렇다면 표준편차인 1시그마는 분산의 제곱근인 np(1-p) 로 대략 1.58 곱하기 10의 12제곱입니다. 3시그마는 3배인 4.74 곱하기10의12제곱으로 평균값으로부터 플러스 마이너스 4.74 x10의12제곱명 안에서 사건이 일어날 확률이 99.7%가 넘는다는 말이지요 이는 전체 중 몇 퍼센트일까요? 10의 25제곱명 중에2x4.74 x10의 12제곱명이므로 9.48x10-11% 로 비율적으로 봤을 때 아주 적은 수치입니다. 즉 ‘n이 커질수록 비율적으로 평균값에서 아주 가까운 값 들에서 사건은 거의 발생한다.’ 라고 말할 수 있게 됩니다. n과 p로 99.7%에 드는 인원을 표현하면 6np(1-p) 이고 이를 전체 수인 n으로 나누면, 6p(1-p)나누기 루트n 입니다. 즉 n이 커질수록 99.7%에 해당되는 사람의 범위의 비율은 루트 n에 비례해서 줄게 됩니다. 즉 아보가드로 수가 기본단위인 통계역학에서는 계산되는 많은 macroscopic 한 수치들은 평균값 근처에서 측정오차 이하에서 변화하고 있는 것을 알 수 있습니다.
미시적인 세계에서는 입자의 질량과 운동량 그리고 입자 사이의 힘 밖에 없습니다. (물론 더 작은 세계인 Sub atomic level은 논외로 하겠습니다.) 온도, 압력, 점성 이러한 값들은 전부 이런 미시적 입자 들에서 비롯한 통계적 수치 즉 Macrostate들입니다. 각 입자들은 끝임없이 서로 부딪히며 상태를 변화하며 Microstate가 바뀌어도 온도를 측정할 때 참여하는 입자의 수와 측정 최소단위 시간이 매우 크므로 평균값에서 거의 움직이지 않는 것으로 보입니다. 이러한 원리로 입자들의 Microstate가 계속 변해도 ‘우리는 방안의 온도가 가능한 Macrostate중 하나인 24도이다.’라고 말할 수 있게 됩니다.
우리가 다음절에서 온도를 정의하기 위해서 주목해야할 특징은, 이러한 많은 입자들이 참여하는 시스템이 열역학적으로 평형상태에 있으면 한 가지 Macrostate에 정지해 있는 것으로 보인다는 것입니다. 99.9999%의 확률로 평균값과 매우 가까운 어떠한 좁은 범위안에서 변화하고 있기 때문이지요. 그리고 그 Macrostate는 가장 많은Microstate를 포함하는 즉 가장 높은 확률을 갖는 Macrostate입니다. 6명의 만두게임에서 3명과 같은 값 말이죠. 이 3으로 대표되는 값이 매우 주목하고 있어야 합니다. 이 값이 열역학을 가장 어렵게 만드는 엔트로피의 실체와 밀접한 관련이 있기 때문이지요. 그럼 이번절에서 배운 내용을 바탕으로 다음 절에서 통계적으로 온도를 정의하도록 하겠습니다. 이번 절 내용을 이해한 경우 아주 쉬울 것입니다.
3. 온도의 통계적 정의
1절에서 언급한 시스템을 다시 가져와 설명하겠습니다. 냉동실에 넣어두었던 스테인리스 아이스 큐브를 끓는 커피에 넣는 시스템 말입니다. 다만 아이스 큐브를 시스템 A 커피를 시스템 B라고 하겠습니다. 개념을 전개해 나가기 전에 딱 한가지 가정을 해야 합니다. 그 것은 ‘시스템의 발생 가능한 Macrostates의 중 가장 큰 확률을 갖는 것에 대응되는 Microstates의 수는 시스템이 갖는 에너지에 관한 함수이다.’ 입니다. 처음 보기에 말이 굉장히 난해합니다. 앞 절에서 확인한 사실에 의하면, Macrostates의 중 가장 큰 확률을 갖는 값은 마치 그 값에 정지한 듯이 보이는 Macrostate입니다. 이에 대응되는 Microstates의 수는 즉, Macrostate에 대응되는 경우의 수입니다. 이 수가 시스템 전체의 에너지에 관한 함수란 말인 것인가? 풀어 말해도 난해한 것은 마찬가지로 보입니다. 천천히 비유를 통해 생각해보겠습니다.
전 절에서 들었던 만두게임과 유사한 예시지만 조금 다릅니다. Microstate와 Macrostate가 존재한다는 점은 같습니다. 이전과 같이 다섯명이 있는데 다섯명에게 책 다섯권을 나눠주는 경우의 수는 어떻게 될까요? 모두가 한권만 받는다면 세기 쉽겠지만 원자의 세계에선 그러한 가정이 없습니다. 그러므로 아래 표와 같이 7가지 경우로 분할하여 생각해야 합니다.

7 가지 분할 상태의 모든 경우를 합산하면 126가지가됩니다. 그러나 각각 누가 몇 권을 받았는지를 신경 쓰지 않고 분할 상태만 고려한다면 7가지 경우가 됩니다. 눈치 채셨겠지만, 분할 상태를 Macrostate로 볼 수 있고 각 경우의 수들을 이에 대응하는 Microstate로 볼 수 있습니다. 가장 발생할 확률이 높은 Macrostate는 경우 3과 4로 똑같이 21분에 5입니다. 지금은 편의상 3번경우 하나로 치겠습니다. 이 때 사람 수 5명을 입자의 수로 생각할 수 있으며, 책의 권수를 에너지, 책의 분할 상태인 Macrostate를 에너지의 분할 상태로 볼 수 있습니다. 가장 일어날 확률이 높은 Macrostate는 3번인 2, 2, 1, 0, 0으로 분할된 경우라 생각할 수 있지요. 그리고 이에 대응되는 Microstate의 수는 30개입니다. 그렇다면 전 문단에서 볼드체로 표시한 가정을 이 경우에 대입시켜 보겠습니다. 가장 발생확률이 높은 Macrostate인 경우 3번에 대응되는 Microstate의 경우의 수는 총 주어진 책(에너지)의 수에 관한 함수이다. 어찌 보면 당연한 말입니다. 책의 숫자가 늘어나면 분할할 수 있는 수가 늘어나며 가장 확률이 높은 경우에 해당하는 경우의 수도 늘어날 것이기 때문입니다. 100권을 다섯에게 분배할 때가 훨씬 많은 경우를 갖겠지요?즉 가장 확률 높은 Macrostate의 경우의 수는 에너지에 관한 함수이며 증가함수일 것임을 예상할 수 있습니다.
그렇다면, 가장 확률 높은 Macrostate의 경우의 수를 Ω이라하고 에너지에 관한 함수이므로 Ω(E)로 표현하겠습니다. 가정을 마쳤으니 다시 아이스 큐브 시스템 A와 커피 시스템 B로 돌아와서 분석을 하겠습니다. 두 시스템은 열 교환 전에 각각 에너지 E1과 E2를 갖습니다. 각각 이에 대응하는 최대 경우의 수를 각각 Ω1(E1), Ω2(E2)입니다. 그런데 열교환을 시작한다면 E1과 E2값은 계속 변화합니다. 두 시스템 외엔 열교환에 참여하지 않으므로 E1+E2 값은 일정하게 유지되나 그 값들이 계속 변화하므로 이에 대응하는 각 시스템의 최대 경우의 수 Ω1(E1), Ω2(E2) 도 변화하고 있습니다. 언제까지 변할까요? 정답은 두 시스템을 합쳐진 한 시스템으로 보았을 때 전체 시스템이 최대 경우의 수를 갖는 Macrostate에 이를 때입니다. 이는 이전 절의 마지막 문단에서 볼드체로 표시한 주목해야할 특징에 기인합니다. 그 특징을 반복하자면 ‘입자가 많은 시스템의 특징은 가장 많은 경우의 수를 갖는 Macrostate로 가서 정지한 것과 같이 보인다.’입니다. 그래서 두 시스템이 합쳐지면(열교환을 하면) 두 시스템을 합친 하나의 전체 시스템의 Macrostate의 경우의 수를 최대로 하는 상태로 에너지가 재분배되게 됩니다. 그러한 에너지 분배상태에 이를 때까지 거시적 관점에서 에너지는 흐릅니다.
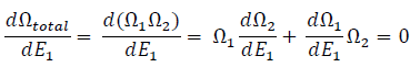
수식적으로 분석하겠습니다. 전체의 경우의 수는 각 시스템의 경우의 수의 곱과 같으므로

이며 E1 과 E2 가 변하고 있으며 합이 일정하므로 E1 하나만 독립변수로 생각할 수 있습니다. 따라서,

이고 E1에 대해 전체 시스템의 경우의 수인 Ωtotal의 미분계수가(증가율)이 0이 되게 하는 E1값에서 Ωtotal값이 최대를 갖을 것임을 알 수 있습니다.

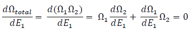
또한, E1 + E2 = Constant 이므로


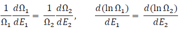
좌변 우변을 Ω1Ω2로 나누면, 아래와 같이 정리되고 한 변이 한 시스템에 관한 식으로 정리됩니다.

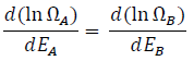
즉 두 시스템의 위의 수치가 같아 질 때까지 열 교환이 일어나고 이 수치가 같아지면 열역학적 평형상태에 이르렀다고 말할 수 있습니다. 굉장히 난해한 수식 과정을 거친 것으로 생각될 수 있으나 결과 식 자체를 봐도 지금까지 강조한 물리적의미를 엿볼 수 있습니다.

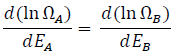
위 수식의 의미를 해석하자면, 두 시스템의 에너지 변화에 대한 lnΩ 값의 변화율이 같아지는 순간까지 열교환이 일어납니다. 그런데 Ω은 최대 경우의 수이므로 lnΩ은 두시스템의 최대 경우의 수에 로그를 취한 값입니다. 즉 두 시스템의 에너지 변화에 대한 Macrostate에 대응되는 경우 수에 로그를 취한 값의 변화율이 같아질 때 시스템은 열교환을 일으킨다는 것을 알 수 있으며, 이는 두 시스템을 합친 하나의 시스템의 경우의 수를 최대로 하는 에너지 분배 상태라는 관점에서 유도된 것임을 이해하고 있어야합니다.
lnΩ값에 볼츠만 상수라 불리우는 상수 kb를 곱하여 kb lnΩ를 엔트로피라고 칭하는데 2법칙과 3법칙을 설명할 때 자세히 설명할 것이며 열역학에서 아주 중요한 의미를 갖는 개념입니다. 엔트로피도 온도와 같이 통계적으로 정의되기 이전에 실험적으로 먼저 상정된 값이며 kb lnΩ같은 수식은 나중에 ‘이 값이 실질적으로 엔트로피를 뜻한다’ 라고 나중에 밝혀졌습니다. 엔트로피는 통상적으로 알파벳 S로 표기되며 흔히 무질서도라고 일컬어집니다. 우리가 지금까지 분석한 S의 의미를 생각해보면, 한 Macrostate에 대응되는 Microstate 최대 경우의 수에 로그를 취한 값이며, 한 시스템이 갖을 수 있는 최대 경우의 수이므로 무질서도와 의미가 통한다는 느낌을 받습니다. 가능한 많은 수의 Microstate가 바뀌며 혼재되는게 가장 무질서 하니까요. 다분히 감각에 의존하는 말인것 같은데, 저만의 느낌이 아니길 바랍니다. 저희가 2절에서 정규분포를 이용하여 분석한 것에 의하면, 열시스템은 주어진 에너지에서 경우의 수가 최대인 Macrostate를 찾아가므로, 열시스템은 주어진 에너지에서 가장 무질서한 방향으로 간다고 생각될 수 있습니다. 이는 열역학 제 2법칙을 표현하는 문장 중 하나이며 사실 2법칙의 전부 다입니다. 잉크가 물에 섞이는 현상이든 공기가 고온에서 저온으로 흐르는 것이던 2법칙으로 설명가능하다고 알려진 거의 모든 현상들이 이 원리로 설명가능합니다. 후에 2법칙을 다룰 때도 여러가지 상황을 들고 다양한 측면에서 접근하겠지만(특히 엔진과 열펌프) 가장 중요한 개념은 이번 문단에 모두 담겨있습니다. 0법칙과 온도의 개념에 대해서만 다루려 했으나 2법칙의 핵심까지 다루게 되었네요. 학문이란 개념이 연결된 것이기 때문에 이렇게 되는 것 같습니다.
온도의 수식적 표현을 하고 마무리하겠습니다. 한 시스템의 d(lnΩ)/dE 값이 일정할 때까지 열교환이 일어나므로 온도는 이 값에 관한 수식일 것입니다. 온도 T는 아래의 수식과 같이 정의됩니다.

즉 온도는 엔트로피 변화에 대한 시스템의 에너지 변화율이며, 시스템들 사이에서 열 교환이 일어나는 기준이 됩니다.
추상적이게 느껴질 수 있는 열 현상 중에서도 가장 추상적이고 난해한 개념들을 설명하게 되어 설명하기 매우 어려웠으며 설명이 충분하였는지 걱정스럽네요. 정확히 이해했다고 생각했었는데 글을 쓰면서 또 새로웠습니다. 공부가 아직 부족한 탓이겠지요. 내용이 잘 이해가 되지 않으시거나 중간의 논리의 비약이 느껴 지시거나, 틀린 내용이 있으면 과감히 댓글을 통해 짚어 주시고 비판 부탁드립니다. 서로 지식을 공유하는 장을 갖고 싶다는게 이 블로그를 하게된 큰 목적중에 하나입니다. 제가 좀 더 좋은 자료들을 계속 올리 수 있다면 많은 분들이 보시고 교학상장을 할 수 있는 날이 올 것이라 믿습니다. 다음 자료에서는 게임이나 여러가지 상황들에 빗대어 설명하는 것이 아닌 실제로 기체 입자들에 이번 자료에서 공부한 개념들을 도입하여 분석해보도록 하겠습니다. 감사합니다.
'수학&물리' 카테고리의 다른 글
| 열역학 자료 3: 압력에 관하여 (0) | 2020.01.31 |
|---|---|
| 열역학자료 2: 입자의 속도 분포에 관하여 (0) | 2019.12.06 |
| 쿼터니안과 삼차원 회전 2 (0) | 2019.09.23 |
| 벡터의 곱셈에 관한 고찰 (1) | 2019.09.23 |
| 쿼터니안과 삼차원 회전 1 (0) | 2019.09.23 |
- Total
- Today
- Yesterday
- 순열
- 유니티
- 최적화
- AABB
- 조합
- CollisionDetection
- normalized device coordinate
- Mesh Processing
- 참조 형식
- MeshProcessing
- Mesh
- 통계학
- C#
- Unreal
- Scriptable Render Pipeline
- RL
- Unity
- RubiksCube
- value type
- perspective projection
- collision detection
- 수학
- 경우의 수
- opengl
- 값 형식
- 중복 순열
- 루빅스큐브
- DirectX12
- 중복 조합
- VTK
| 일 | 월 | 화 | 수 | 목 | 금 | 토 |
|---|---|---|---|---|---|---|
| 1 | 2 | 3 | 4 | 5 | 6 | |
| 7 | 8 | 9 | 10 | 11 | 12 | 13 |
| 14 | 15 | 16 | 17 | 18 | 19 | 20 |
| 21 | 22 | 23 | 24 | 25 | 26 | 27 |
| 28 | 29 | 30 | 31 |