티스토리 뷰
1. 압력의 의미
압력이란 단어는 우리가 본격적으로 과학 공부를 하기 이전부터 굉장히 친숙한 개념입니다. 오늘의 날씨가 고기압의 영향을 받아 맑을 것이라는 일기예보 속에서도 접할 수 있으며, 비행기에 탑승할 때나 물에 깊이 잠수할 때 귀에 느껴지는 감각은 공기의 압력 차 때문이라는 설명도 들어왔을 것입니다. 그런데 이 압력이란 개념의 물리적인 실체는 무엇일까요? 압력, 글자 그대로 의미는 공기 또는 액체가 누르는 힘입니다. 다른 여러가지 개념의 오류를 일으킬 수 있는 물리수치 들의 이름(예를 들어 전압)들이 비하여 비교적 직관적이고 개념 상 잘 맞게 만든 이름이라고 생각합니다. 공기가 누르는 힘이라면, 공기가 우리 피부를 누르는 것일 까요? 앞선 자료에서 언급한 바와 같이 대기 중에 공기 입자들은 자유롭게 돌아다니며 끊임없이 충돌을 합니다. 공기의 입자는 우리의 피부에도 매우 짧은 주기로 끊임없이 충돌을 하며 힘을 전달합니다. 이러한 연속적인 충돌들로 인한 운동량의 전달이 공기가 누르는 힘의 본질일 것입니다. 우리가 고교 시절 배웠던 압력에 대한 수식은 실험식인 보일의 법칙과 샤를의 법칙으로 도출되는 이상기체 상태 방정식일 것입니다.

이 식의 P가 압력을 뜻하며, V는 부피, kb는 앞 장에서 언급한 볼츠만 상수, N은 기체 입자의 수, T는 온
도입니다. 이 식의 의미를 해석하자면, ‘(1) 온도가 일정할 때 압력과 부피는 반비례 관계이다. (보일의 법칙) (2) 압력이 일정할 때 기체의 부피와 온도는 비례한다. (샤를의 법칙) (3) 부피가 일정할 때 온도와 압력은 비례한다.’ 로 세가지입니다. 제가 이번 자료에서 정리하고 싶은 것은 뉴턴의 운동 법칙과 앞장에서 학습한 공기의 속도 분포 두가지 개념을 통하여, 위의 실험식을 유도하는 것입니다. 이를 통하여 압력, 즉 공기가 누르는 힘의 의미를 살려서 압력의 본질을 명확히 이해할 수 있을 것입니다.

2. 한 입자가 벽면에 충돌할 때 전달되는 힘의 크기
공기가 한 벽면을 누르는 힘을 계산하기 위해선, 한 공기입자가 벽에 충돌할 때 전달되는 힘의 크기를 계산한 후에, 충돌하는 공기 입자의 개수를 곱해주어야 할 것입니다. 물론 문제는 입자마다 전달하는 힘의 크기가 다를 것이므로 단순한 곱하기가 아닌 적분연산이 필요할 것입니다. 그렇다면 우선 한 입자가 벽에 충돌할 때 전달되는 힘의 크기를 계산해보겠습니다. 우선 이 입자는 질량이 m이며 벽의 수선과 θ의 각을 이루는 방향으로 운동한다고 가정하겠습니다. 이 입자가 충돌할 때 전달되는 힘을 계산하는 것은 어려우나, 이 입자가 완전 탄성 충돌을 한다고 가정하였을 때 입자의 운동량 변화는 비교적 계산하기 쉽습니다. 속도의 변화량에 질량을 곱한 값이므로 입자의 운동량 변화는 아래와 같습니다.

운동량변화는 입자에 전달된 충격량과 같으며(뉴턴의 2법칙), 입자에 전달된 충격량의 크기와 벽에 전달된 충격량의 크기는 같으므로 위의 식이 성립합니다. 델타 t의 경우는 입자와 벽의 재질과 같이 여러 값에 의해 변하므로 결정하기가 까다롭습니다. 즉 지금까지 정보를 통해 질량이 m이며 운동방향이 벽의 수선과 θ의 각을 이루는 입자가 충돌 시 전달되는 힘의 크기는 아래 식과 같습니다.

벽에 전달하는 힘의 크기는 입자의 방향과 속력에 따라 달라집니다. 그러므로 특정 방향과 특정속도를 갖는 입자의 개수를 알아야만 합니다. 그 특정 방향과 속도를 갖는 입자의 개수와 힘의 크기를 곱한 후, 모든 방향과 모든 속력에 대하여 힘을 더해 주어야 전체 입자가 전달하는 힘의 크기를 계산할 수 있을 것입니다.

3. 벽과 θ의 각을 이루고 속력이 v인 입자의 개수

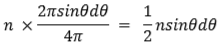
단위 부피 속의 입자 개수를 n개로 가정하고 출발하겠습니다. 그럼 우선, 딱 특정 θ의 각을 이루는 입자의 개수는 통계적으로 0개 일 것입니다. 왜냐하면, 연속적인 가능한 모든 방향 중에서 한방향을 갖을 확률은 0이기 때문입니다. 그러므로 θ에서부터 θ+dθ 사이의 입자 개수를 고려해야합니다. 특정한 벽과 θ를 이루는 공기 입자들은 삼차원 공간에서 옆의 그림과 같이 분포합니다. 그러므로 θ에서부터 θ+dθ 사이 각을 이루는 입자들은 빨간 색 원을 따라 폭이 dθ인 띠 형태로 분포합니다. 전체 구의 표면적은 4파이 이므로, 전체 입자 중에 θ에서부터 θ+dθ 사이 입자의 비율은 4파이 분에 띠의 면적이 됩니다. 원의 둘레는 2x파이xsinθ이고 폭이 이므로 띠의 면적은 대략 2x파이xθxdθ입니다. 즉 단위 부피 속 벽과 각도가 θ에서부터 θ+dθ사이를 이루는 입자의 개수는 아래와 같습니다.

추가적으로 속력이 v에서 v+dv 사이의 입자의 개수를 고려해보겠습니다. 이는 지난 자료에서 볼츠만 분포를 이용하여 유도 하였고 그 식은 아래와 같습니다.

위 식과 하나 더 위의 식을 근거로 벽의 수선과 각도가 θ에서부터 θ+dθ 사이이며 속력이 v에서 v+dv 사이의 입자의 개수는 아래 식과 같습니다.

4. dt 시간 동안 벽과 충돌하는 입자의 개수

마지막으로, 벽의 면적을 A 라고 할 때 dt 동안 벽과 충돌할 입자의 수는 몇 개일 까요? 입자들이 모두 같은 속력과 방향을 갖고 있을 경우에 말입니다. 아래 그림을 보면 쉽게 답을 얻을 수 있습니다. 빨간색 평형사변형 모양의 부피 속에 존재하는 모든 입자들은 dt 시간안에 A 부분과 충돌하게 됩니다. 이 안의 입자들은 dt 시간내에 벽면에 도달하기 때문이죠. 즉 이 부피 속의 입자의 개수가 dt 시간안에 A에 충돌하는 입자의 개수입니다. 단위 부피당 입자의 개수가 n이므로 dt 시간 동안 충돌하는 입자의 개수는 아래와 같습니다.

5. 최종 유도
1절에서 특정한 방향과 속력의 한 입자가 충돌할 때 벽에 전달하는 힘의 크기(수직방향)를 계산하였고 2절에선 특정한 방향과 속력의 입자 개수를 계산하였고, 3절에선 특정한 방향과 속도의 입자들이 충돌하는 개수를 계산하였습니다. 위 3절을 종합하면 dt 시간동안 A면적의 벽에 충돌하여 전달하는 힘의 크기를 계산할 수 있습니다.

모든 방향을 고려하기 위해선 θ가 0도부터 90도까지 변화하여야 하며, 모든 속력을 고려하기 위해선 0부터 무한대까지 적분해야 합니다. 즉 위의 합은 아래의 적분식으로 대체됩니다.



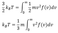
열역학 자료 1의 온도의 정의 자료에서 정리한 것에 의하면 온도는 입자의 평균운동에너지와 비례합니다.

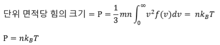
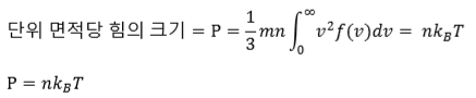
dt의 시간동안 공기 입자가 충돌하여 벽에 전달되는 단위 면적당 힘의 크기, 즉 압력은 아래와 같이 더 간단 히 정리됩니다.

이 식의 n은 단위 부피당 입자의 개수이고, kB는 볼츠만 상수이므로, 입자의 개수가 같을 때 단위부피내에서 온도와 압력은 비례한다는 이상기체 상태 방정식과 같은 의미를 갖습니다. 양변에 부피 V를 곱해보겠습니다.

즉 이상기체 상태 방정식이 유도됨을 알 수 있습니다.
이번 자료에선 압력이란 공기가 때리며 전달되는 힘에서 나오는 것이라는 사실로부터 뉴턴의 운동량식과 볼츠만 분포의 성질을 이용하여 압력의 수식을 이끌어 냈습니다. 이를 통해 압력과 유체에 대한 이해가 더욱 올라 갈 수 있기를 바랍니다. 틀리거나 부족한 내용은 언제든지 지적해주시길 바랍니다. 감사합니다.
'수학&물리' 카테고리의 다른 글
| 열역학 자료 5: 점성, 열전도율, 확산에 대하여 2 (0) | 2020.01.31 |
|---|---|
| 열역학 자료 4: 점성, 열전도율, 확산에 대하여 1 (1) | 2020.01.31 |
| 열역학자료 2: 입자의 속도 분포에 관하여 (0) | 2019.12.06 |
| 열역학자료 1: 온도의 정의에 관하여 (2) | 2019.10.26 |
| 쿼터니안과 삼차원 회전 2 (0) | 2019.09.23 |
- Total
- Today
- Yesterday
- 유니티
- 순열
- C#
- 최적화
- collision detection
- perspective projection
- Mesh Processing
- 조합
- 루빅스큐브
- opengl
- 경우의 수
- Unreal
- Scriptable Render Pipeline
- AABB
- CollisionDetection
- normalized device coordinate
- 중복 조합
- Unity
- Mesh
- RubiksCube
- VTK
- value type
- DirectX12
- 수학
- 중복 순열
- 참조 형식
- 값 형식
- RL
- MeshProcessing
- 통계학
| 일 | 월 | 화 | 수 | 목 | 금 | 토 |
|---|---|---|---|---|---|---|
| 1 | 2 | 3 | 4 | 5 | 6 | |
| 7 | 8 | 9 | 10 | 11 | 12 | 13 |
| 14 | 15 | 16 | 17 | 18 | 19 | 20 |
| 21 | 22 | 23 | 24 | 25 | 26 | 27 |
| 28 | 29 | 30 | 31 |